أول وكالة اخبارية خاصة انطلقت في الأردن

تواصل بلا حدود

أخر الأخبار
متابعة لزيارة الملك إلى إربد .. توقيع اتفاقية إنشاء مصنع لشركة "مدينة إيزو التعليمية والتقنية" زراعة الطفيلة تدعو مزارعي القمح والشعير للتسجيل للحصول على شهادة المنشأ للموسم الزراعي كم مرة يجب تغيير فرشاة أسنانك لحماية فمك من البكتيريا؟ التهاب الأمعاء قد يكون مفتاحاً لفهم تطور مرض الزهايمر صفار البيض أم بياضه .. أيهما الأفضل لصحتك؟ المؤسسة الاستهلاكية المدنية تعلن عن استمرار دوام أسواق المؤسسة المدنية الجمعة لوفتهانزا تمدد إلغاء الرحلات الليلية إلى تل أبيب حتى 3 فبراير تصاعد التوتر بمينيابوليس بعد تحذير ترمب لرئيس بلديتها أمانة عمان تُقر مشاريع استراتيجية لدعم النقل والسياحة وتعزز التعاون الأكاديمي وزير المياه والري: جاهزية سد الملك طلال لاستيعاب الأمطار وتعظيم الاستفادة من مياه الفيضانات الفيصلي يلتقي الرمثا مساء الخميس في ستاد عمان الدولي مجمع اللغة العربية يصدر كتابا جديدا جامعة العلوم والتكنولوجيا تعزز الابتكار في الصناعات الغذائية الأردن يشارك في معرض الجامعات بالسعودية لاستقطاب الطلبة الوافدين مواطن يوثق عقد رعاية صحية سنوية لكلبه بقيمة 750 دينارًا علاقات جوية متنامية: الأردن والإمارات يعززان التعاون في قطاع الطيران إطلاق البرنامج الوطني لرسم خرائط الفيضانات لتعزيز الجاهزية وإدارة المخاطر في الأردن المنطقة العسكرية الجنوبية تُسقط طائرة مسيّرة حاولت تهريب مواد مخدرة التسعيرة الثانية .. انخفاض مفاجئ لأسعار الذهب بعد ارتفاع قياسي في السوق المحلي اندلاع معارك في إثيوبيا بين الجيش وقوات من إقليم تيغراي
الصفحة الرئيسية أردنيات بالأسماء .. وزارة التربية تعلن توفيق أوضاع...

بالأسماء .. وزارة التربية تعلن توفيق أوضاع مئات المعلمين والموظفين ومنح الزيادات السنوية

بالأسماء .. وزارة التربية تعلن توفيق أوضاع مئات المعلمين والموظفين ومنح الزيادات السنوية

29-01-2026 01:12 PM

زاد الاردن الاخباري -

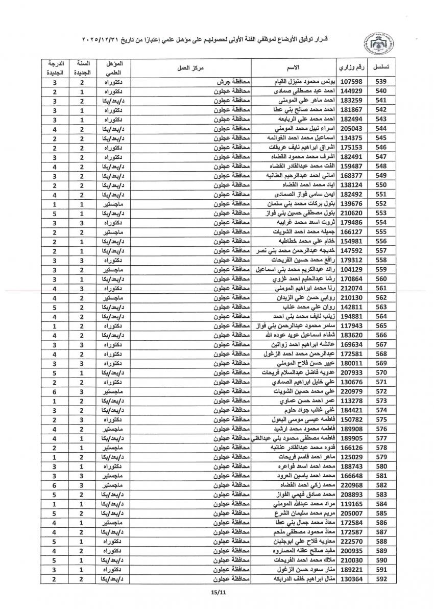
أعلنت وزارة التربية والتعليم اتخاذ قرارات جديدة تتعلق بتوفيق أوضاع المعلمين والمعلمات، إلى جانب الإداريين والإداريات، ومنحهم الزيادات السنوية المستحقة عن مؤهلاتهم العلمية، وذلك وفق الأسس والأنظمة المعتمدة، على أن يبدأ العمل بها اعتبارًا من تاريخ 31/12/2025.

وشملت القرارات توفيق أوضاع عدد من الموظفين إلى راتب السنة والدرجة ضمن الفئة الأولى، اعتبارًا من التاريخ ذاته، استنادًا إلى مؤهلاتهم العلمية التي تشمل الدبلوم العالي أو درجة الماجستير أو الدكتوراه.

كما قررت الوزارة توفيق أوضاع موظفين من الفئة الثانية إلى الفئة الأولى، بعد حصولهم على الدرجة الجامعية الأولى، على أن يسري القرار ابتداءً من 31/12/2025.

وتضمنت القرارات أيضًا توفيق أوضاع موظفين من الفئة الثالثة إلى الفئة الأولى في ضوء نيلهم الدرجة الجامعية الأولى، وبأثر اعتبارًا من نهاية عام 2025.

وفي السياق ذاته، تقرر توفيق أوضاع موظفين من الفئة الثالثة إلى الفئة الثانية، بعد حصولهم على شهادة دبلوم كلية المجتمع الشامل، على أن يبدأ تنفيذ القرار اعتبارًا من 31/12/2025.








تابعونا على صفحتنا على الفيسبوك , وكالة زاد الاردن الاخبارية

التعليقات حالياً متوقفة من الموقع